Publications

Submitted/Under Review

Microscopic origins of hysteresis and conduction mechanisms of defective MoS2/Au(111)-based devices
Roozbeh AnvariYoungju Son, Deji Akinwande, and Wennie Wang.
Submitted. [chemrxiv]

The role of charge transfer and symmetry in singlet fission in EP-PDI crystals: A Frenkel-Holstein approach
Xin Chang and Wennie Wang.
Submitted. [chemrxiv]

Chemistry of TMDs: Distinct Behaviors in Seemingly Similar Materials.
Maciej J. Szary, Domink M. Florjan, Piotr Radomski, Emilia Piosik, Wennie Wang, Sang-Mo Koo.
Under review.

2026

Cerium-Doping and Nitridation Effects on Nickel-based MOF for Alkaline Water Oxidation
Chikaodili E. Chukweneke, Kenta Kawashima, Tran Phuoc Anh Nguyen, Gabriella Ruiz, Johnpaul Smith, Raul A. Marquez, Jay T. Bender, Jing Lian Ng, Xun Zhan, Wennie Wang, Delia J. Milliron, Michael J. Rose, C. Buddie Mullins.
J. Materials Chemistry A. Accepted (2026)

2025

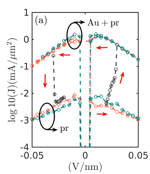
Effect of electric field on the hysteresis and switching behavior of the MoS2/Au(111) heterojunction
Roozbeh Anvari, Deji Akinwande, Wennie Wang.
 ACS Nano. 19, 44, 38231-38242 (2025) [chemrxiv] [zenodo data]

Assessment of density functional theory methods on bulk and electronic properties of β-NiOOH Structural Models
Jing Lian Ng and Wennie Wang.
J. Chemical Physics. 163, 234710 (2025) [zenodo data]
–> Annabella Selloni Festschrift Collection

Ethane-selective Activated Nitrogen-doped Carbons for Ethane-Ethylene Separation
Lettie A. Smith, J. Ehren Eichler, Suk Gyu Lim, Matthew N. Davenport, Hanah Leonard, Ethan Kang Yang, Yasaman Karbalaeemorad, Benny D. Freeman, Wennie Wang, Rui P.P.L. Ribeiro, C. Buddie Mullins.
Industrial & Chemistry Engineering Research. 64, 50, 24204-24226 (2025).

Unveiling the Amphoteric Surface Reactivity of Montebrasite using Spectroscopic and First-Principles Methods
Espoir Murhula, Wennie Wang, Gideon L. Dzemua, Suk Gyu Lim, Gabriele Schatte, Lucia Zuin, Charlotte E. Gibson. 
J. Physical Chemistry C. 129, 39, 17846–17861 (2025). 

Interfacial Electronic Structure Modulation by Facet Orientation and Sulfur Vacancies in CdS/MoS2 Heterojunctions
Beniam Kumela, Roozbeh Anvari, Wennie Wang.
J. Materials Chemistry C. 13, 22207-22216 (2025). [chemrxiv[zenodo data]
—> 2026 Emerging Investigators Issue

First-Principles Investigation of the Resistive Switching Energetics in Monolayer MoS2: Insights into Metal Diffusion and Adsorption
Jameela Fatheema, Liangbo Liang, Brian H. Lee, Wennie Wang, Deji Akinwande.
npj 2D Materials and Applications, 9, 74 (2025)

Understanding and predicting trends in adsorption energetics on monolayer transition metal dichalcogenides
Brian H. Lee, Jameela Fatheema, Deji Akinwande, Wennie Wang.
npj 2D Materials and Applications, 9, 61 (2025) [arXiv] [zenodo data]

2024

Nature of point defects in monolayer MoS2 and the MoS2/Au(111) heterojunction
Roozbeh Anvari and Wennie Wang.
J. Applied Physics 135, 174304 (2024). [arXiv] [zenodo data]
–> Special Collection: Defects in Semiconductors 2024

Effects of solvation and temperature on the Energetics of BiVO4 surfaces with varying composition for solar water splitting
Giacomo Melani, Wennie Wang, Francois Gygi, Kyoung-Shin Choi, Giulia Galli.
ACS Energy Lett. 9, 10, 5166–5171 (2024) [arXiv]

2022

Influence of excess electrons on water adsorption on the BiVO4(010) surface
Wennie Wang, Marco Favaro, Emily Chen, Lena Trotochaud, Hendrik Bluhm,
Kyoung-Shin Choi, Roel van de Krol, David E. Starr, Giulia Galli.
J. Am. Chem. Soc. 144, 37, 17173–17185 (2022).

2021

Investigation of Photoelectrodes for Solar Water Splitting at the Microscopic Scale
Wennie Wang, Andjela Radmilovic, Kyoung-Shin Choi, Giulia Galli.
Accounts of Chemical Research.
54, 3863–3872 (2021).

Lessons learned from first-principles calculations of transition metal oxides
Hien Vo*, Shenli Zhang*, Wennie Wang*, Giulia Galli.
J. Chemical Physics.154, 174704 (2021).
–> Special Collection: in honor of Women in Chemical Physics and Physical Chemistry

The impact of surface composition on the interfacial energetics and photoelectrochemical properties of BiVO4
Dongho Lee,* Wennie Wang*, Chenyu Zhou *, Xiao Tong, Mingzhao Liu, Guilia Galli,
Kyoung-Shin Choi.
Nature Energy.
6, 287-294 (2021).

–> Nature Energy News & Views – Ian D. Sharp, Nature Energy. 6, 217-218 (2021)
–> UChicago News: New research could boost a solar-powered fuel made by splitting water
–> Brookhaven National Lab Newsroom: Tuning Electrode Surfaces to Optimize Solar Fuel Production

2020

Can a PbCrO4 photoanode perform as well as isoelectronic BiVO4?
Ann E. Lindberg*, Wennie Wang*, Shenli Zhang, Giulia Galli, Kyoung-Shin Choi.
ACS Applied Energy Materials. 3, 9, 8658-8666 (2020)
.

PyCDFT: a Python package for constrained density functional theory
He Ma, Wennie Wang, Siyoung Kim, Man-Hin Cheng, Marco Govoni, Giulia Galli.
J. Computational Chemistry. 41, 1859-1867 (2020).

–> Open-source code

The role of surface oxygen vacancies in BiVO4
Wennie Wang, Patrick Strohbeen, Dongho Lee, Chenyu Zhou, Jason Kawasaki, Kyoung-Shin Choi, Mingzhao Liu, Giulia Galli.
Chemistry of Materials. 32, 2899-2909 (2020).

First-principles study of transport in WO3
Wennie Wang, Youngho Kang, Hartwin Peelaers, Karthik Krishnaswamy, Chris G. Van de Walle.
Physical Review B. 101, 045116 (2020).

2018

First-principles Analysis of Radiative Recombination in Lead-Halide Perovskites
Xie Zhang, Jimmy-Xuan Shen, Wennie Wang, Chris G. Van de Walle.
ACS Energy Letters. 3, 2329-2334 (2018).

Carrier-induced absorption as a mechanism for electrochromism in WO3
Wennie Wang, Hartwin Peelaers, Jimmy-Xuan Shen, Chris G. Van de Walle.
MRS Communications. 8, 926-931 (2018).

Impact of point defects on electrochromism in WO3
Wennie Wang, Hartwin Peelaers, Jimmy-Xuan Shen, Anderson Janotti, Chris G. Van de Walle.
Proc. SPIE 10533, Oxide-based Materials and Devices IX. 10533C (2018)

2017

Phase transformations upon doping in WO3
Wennie Wang, Anderson Janotti, Chris G. Van de Walle.
J. Chemical Physics, 146, 214504 (2017).

2016

Role of oxygen vacancies in crystalline WO3
Wennie Wang, Anderson Janotti, Chris G. Van de Walle.
J. Materials Chemistry C, 4, 6641 – 6648 (2016).

2014

Multi-scale interlaminar fracture mechanisms in woven composite laminates reinforced with aligned carbon nanotubes
Sunny S. Wicks, Wennie Wang, Marcel R. Williams, Brian L. Wardle.
Composites Science and Technology. 100, 128-135 (2014).

Modeling and Testing the Mechanical Strength of Solar Cells
Felix Kaule, Wennie Wang, Stephan Schoenfelder.
Solar Energy Materials and Solar Cells. 120A, 441-447 (2014).